Improvement of Sundhibandha at Takarada
OD/354/3368/117672/410395/00064923
SFC Devolution of Fund
5TH SFC DEVOLUTION GRANT TO PANCHAYAT SAMITI
Water Body
Pathway
-
Download
dfgdsfdsfs

Ganjam
Buguda
Takarada

Stage wise Geo-tag Photo:

Before
Status Image
  • Latitude: 19.8743457
  • Longitude: 84.8433378
  • Date & Time: 08 Dec 2025, 09:28 PM
Transparency Board
Status Image
  • Latitude: 19.8747017
  • Longitude: 84.843401
  • Date & Time: 08 Dec 2025, 09:28 PM
During
Status Image
  • Latitude: 19.8744815
  • Longitude: 84.8433631
  • Date & Time: 08 Dec 2025, 09:28 PM
Completed
Status Image
  • Latitude: 19.8747029
  • Longitude: 84.8434708
  • Date & Time: 08 Dec 2025, 09:28 PM

380310
380307.00
3
Download

Stage Officer Date Started Date Completed Status
Case Record Opened DUTIKRUSHNA PATRO (BDO) 17-11-2025 17-11-2025 Approved
Estimate Preparation DUTIKRUSHNA PATRO (BDO) 17-11-2025 18-11-2025 Approved
Technical Sanction Rajib Chandra Pradhan (AEE) 18-11-2025 18-11-2025 Approved
Administrative Approval DUTIKRUSHNA PATRO (BDO) 18-11-2025 18-11-2025 Approved
Work Order Issued DUTIKRUSHNA PATRO (BDO) 18-11-2025 18-11-2025 Generated
Execution In Progress Manoranjan Pradhan (AE / JE) 18-11-2025 01-12-2025 Approved

# Name Action
1 Cover Page View Download
2 Sanction File View Download
3 Ordersheet View Download
4 Location Map View Download
5 Drawing View Download
6 Work site photo View Download
7 Quarry Document View Download
8 Estimate Cover Page View Download
9 Detail Estimate View Download
10 Abstract Estimate View Download
11 Estimation DPR View Download
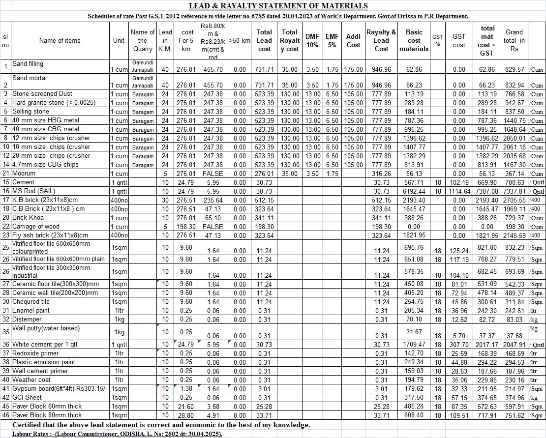
12 Lead Statement View Download
13 Analysis View Download
14 Technical Sanction View Download
15 Administrative Approval View Download
16 Work Order View Download
1st & Final Bill
17 Attac (BRM029) View Download
18 Attac (BRM340) View Download
19 Attac (BRMM287) View Download
20 Geo Tagging View Download
21 Merged Bill Measurement View Download
22 Completion Document View Download